Clube de Matemática
" A matemática é o alfabeto com que Deus escreveu o universo". Galileu Galilei
ISTO É MATEMÁTICA
11ºANO
5ºANO
6º ANO
7ºANO
8ºANO
9ºANO
CONCURSOS
CURIOSIDADES
DESAFIOS
EXPOSIÇÕES
HISTÓRIA MATEMÁTICA
HUMOR
JOGOS MATEMÁTICOS
JORNAL DA GAZETA
MATEMÁTICA
NOTÍCIAS
NÚMEROS
PALESTRAS
PLANIFICAÇÕES ANUAIS
PORTAL DE DÚVIDAS
SALA DE ESTUDO
SÍMBOLOS
VÍDEOS-HISTÓRIA MATEMÁTICA
Mostrar mensagens com a etiqueta
8ºANO
.
Mostrar todas as mensagens
Mostrar mensagens com a etiqueta
8ºANO
.
Mostrar todas as mensagens
terça-feira, 5 de junho de 2018
Exxercícios 8ºano
Exercícios de Exame Nacional
Estatística
8ºano
quarta-feira, 23 de maio de 2018
Exercícios de Exame
Exercícios de Exame
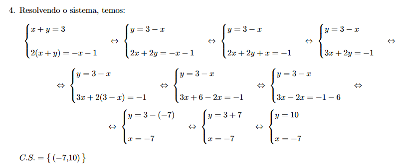
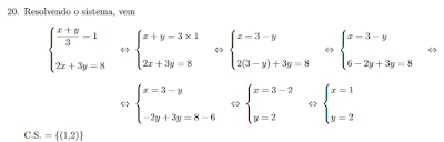
Sistemas de Equações
8ºano
terça-feira, 15 de maio de 2018
Exercícios de Exame - Sistemas de Equações
Exercícios de Exame
Sistemas de Equações
8ºano
segunda-feira, 14 de maio de 2018
Frações
Frações
Khan Academy
terça-feira, 17 de abril de 2018
Exercício Binómio
Exercício de Exame Nacional
8ºano - Polinómios
quinta-feira, 12 de abril de 2018
Quadrado do Binómio II
Exercícios de Exames Nacionais
8ºano - Polinómios
Quadrado do Binómio
II
quarta-feira, 11 de abril de 2018
Quadrado do Binómio I
Exercícios de Exames Nacionais
8ºano - Polinómios
Quadrado do Binómio
I
segunda-feira, 9 de abril de 2018
Monómios e Polinómios
Exercícios de Exames Nacionais
8ºano - Polinómios
quinta-feira, 8 de março de 2018
Abcissa
Só Matemática
segunda-feira, 5 de março de 2018
Exercícios Exame II - Funções
Exercícios de Exame II
8ºAno - Funções
quarta-feira, 28 de fevereiro de 2018
Exercícios Exame I - Funções
Exercícios de Exame I
8ºAno - Funções
Mensagens antigas
Página inicial
Subscrever:
Mensagens (Atom)
Contribuidores
3virgula14
Fiona
Luís Marques
Manuela Calado
Susana Martin Tenreiro