terça-feira, 13 de novembro de 2018

terça-feira, 9 de outubro de 2018

sábado, 30 de junho de 2018

"Uma Mente Brilhante"

Assista ao Filme
 "Uma mente brilhante"

Egito, o berço dos números


Assista ao filme
"O Egipto, o Berço dos Números"
 

A História do Número um

Assista ao filme
"A História do Número Um"


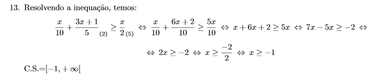
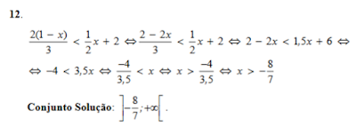
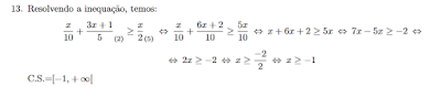
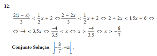
Tabuada

Curiosidade Matemática
Tabuada dos 9 
 MAT3M

Humor


Curiosidade

Curiosidade Matemática
 MAT3M

A matemática está em Tudo

A Matemática está em Tudo
 MAT3M

sexta-feira, 8 de junho de 2018



Campeonato EaD do Jogo do 24

Aqui estão as últimas cartas do campeonato. Podes responder até dia 11 de junho.

Carta 11

Não te esqueças que para distinguir do 6, o número 9 está pintado.

Carta 12



quarta-feira, 6 de junho de 2018

Canguru Matemático 2018
Quadro de Excelência

As melhores classificações a
 nível nacional

Os alunos da Escola Secundária 
de Fonseca Benevides 
estão de Parabéns!


Categoria Escolar

Dos 26 621 alunos que concorreram a nível nacional e dos
5777 que concorreram em Lisboa,

 o Gonçalo Alves do 5ºA3 ficou na posição 65.






Categoria Benjamim

Dos 14 317 alunos que concorreram  a nível nacional e dos
 3227 que concorreram em Lisboa,

 o Rui Faria do 8ºA2 ficou na posição 194.



 
Categoria Cadete

Dos 4 786 alunos que concorreram  a nível nacional e dos
1033 que concorreram em Lisboa, o

João Gonçalves ficou na posição 163.
 

Muitos Parabéns a todos os alunos 
que integraram o Quadro de Excelência
 a Nível Nacional do
 Concurso Canguru Matemático
 e que representaram tão bem a nossa Escola!

Bem Hajam!

Inspirações do Escher



Assiste ao vídeo «Inspirations» e identifica elementos matemáticos presentes no filme.



Campeonato EaD do Jogo do 24

Estamos quase a chegar ao fim do campeonato. Ficam aqui as penúltimas cartas.

Carta 9






Carta 10


segunda-feira, 4 de junho de 2018

Campeonato EaD do Jogo do 24

Começou mais uma semana e vais ter novas cartas para jogar!!!

Carta 7


Carta 8


sexta-feira, 1 de junho de 2018

Campeonato EaD do Jogo do 24

Vamos continuar a participar!?

Se não conseguiste fazer as últimas cartas  pede ajuda ao teu professor de matemática. Não desistas!

Então cá vão as cartas...

Carta 5

Hoje com o número 9. Como vês para distinguir do 6, o número 9 está pintado.
Carta 6

quarta-feira, 30 de maio de 2018

Campeonato EaD do Jogo do 24

Aqui vão as cartas de hoje!!
Não te esqueças de identificar as cartas.

Carta 3

Carta 4